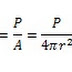
gelombang bunyi adalah energi rambatan yang merambat ke segala arah, sehingga muka gelombangnya berbentuk bola. energi gelombang bunyi yang menembus permukaan bidang tiap satuan luas tiap detiknya disebut intensitas bunyi. intensitas bunyi I secara matematis dirumuskan :
dengan :
I = Intensitas bunyi (Watt /m2)
P = energi tiap satuan waktu (Daya)
A = Luas permukaan yang ditembus gelombang bunyi (m2)
r = jarak tempat dari sumber bunyi (m)
dari persamaan diatas dapat dilihat hubungan intensitas berbanding terbalik dengan kuadrat jarak
para ahli menggunakan istilah dalam intensitas bunyi dengan menggunakan ambang pendengaran dan ambang perasaan. intensitas ambang pendengaran (Io) adalah intensitas bunyi terkecil yang masih mampu didengar oleh telinga, adapun intensitas bunyi terlemah adalah pada frekuensi 1.000 Hz yang masih terdengar oleh telinga manusia adalah sekitar 10-12
Watt /m2
sedangkan intensitas ambang perasaan yaitu intensitas bunyi yang terbesar yang masih dapat didengar telinga tanpa menimbulkan rasa sakit.
Langganan:
Posting Komentar (Atom)


Tidak ada komentar:
Posting Komentar